
Para convertir pulgadas a centímetros, multiplica el valor en pulgadas por 2. 54. Luego, 64 in = 64 × 2. 54 = 163 cm (este resultado es aproximado). 21 rijendesde 1959, la pulgada se ha definido y aceptado internacionalmente como equivalente a 25,4 mm (milímetros). Convertir pulgadas a centímetros cm = in 0. 39370 centímetros el centímetro es una unidad de longitud del sistema métrico que equivale a una centésima parte de un metro.
64 Pulgadas A Centimetros, 4.85 MB, CONVERSIÓN DE PULGADAS A CENTÍMETROS Super facil – Para principiantes, 03:32, 48,452, Daniel Carreón, 2021-06-30T15:30:10.000000Z, 19, FTApinamar: Tabla de Pulgadas a centimetros, ftapinamar.blogspot.com, 520 x 593, jpeg, pulgadas centimetros milimetros paso, 20, 64-pulgadas-a-centimetros, Zadania lekcyjne
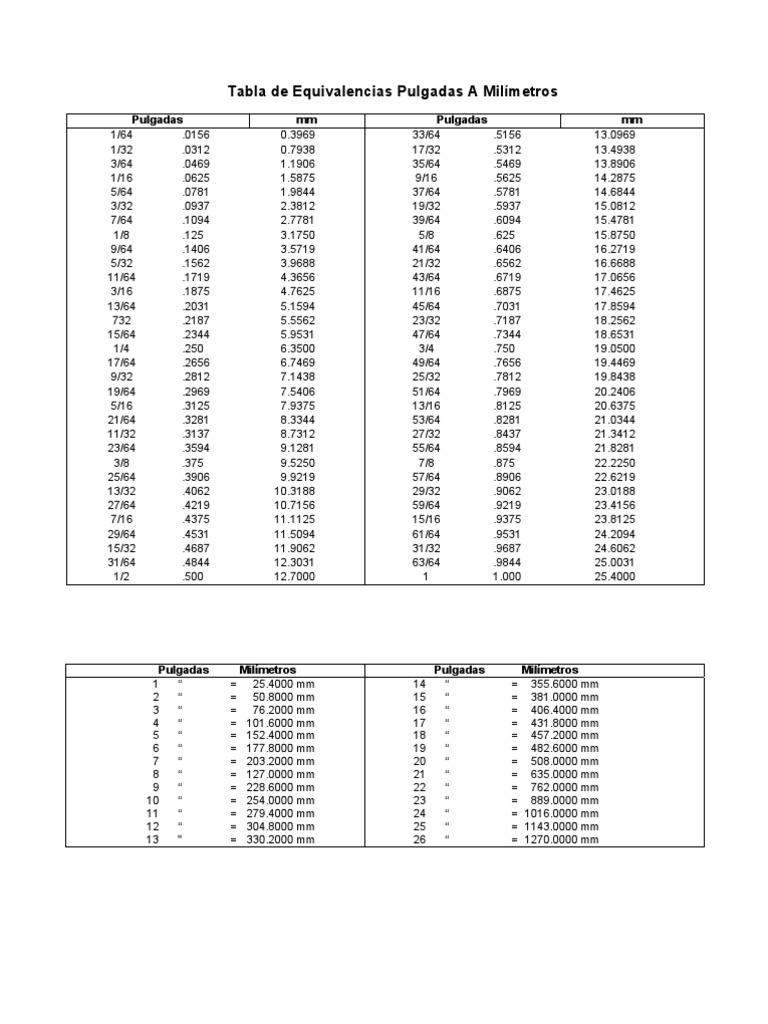
Tabla de pulgadas a centímetros En el siguiente video explicamos la forma de transformar medidas en pulgadas al sistema métrico en el cual se usa al metro como unidad base. Mi página de fac. 92 rijenesto significa que una pulgada puede equipararse a 2,54 centímetros. Para convertir de pulgadas a centímetros, multiplique el valor en pulgadas por 2,54 y el resultado es la misma longitud en centímetros. Para convertir de centímetros a pulgadas, divida el valor en centímetros por el número 2,54 para dar la longitud en pulgadas. 64 pulgadas equivalen a 162. 56 centímetros 64 in = 162. 56 cm convertidor todo en uno física ⇆ 64 pulgadas = 162. 56 centímetros formula: Multiplica el valor en pulgadas por el factor de conversión '2. 54'. Entonces, 64 pulgadas = 64 × 2. 54 = 162. 56 centímetros.
Nuevo CONVERSIÓN DE PULGADAS A CENTÍMETROS Super facil – Para principiantes viral
Viral Convertir pulgada a centímetros o a metros viral
Acerca de Cuánto es 1 pulgada en cm – A cuántos centímetros equivale 1 inch volviéndose viral
Videos Convertir de Pulgadas a Centimetros (in a cm) viral
Como aprender a leer una cinta metrica/ tape popular
Acerca de Como usar centímetros y pulgadas en carpintería. Último
Últimas Aprende a usar pulgadas viral
Nuevo cuantas pulgadas tiene un metro en la cinta metrica Último
Actualmente – Aprende a trabajar en pulgadas y en cm. Aquí te lo explico. Nuevo
Como leer FRACCIONES de PULGADA en la cinta de medir actualizado
Leer más de 64 Pulgadas A Centimetros lo que puede ver
Hola, aqui te dejo este video en el que te explico como convertir pulgadas a centimetros y centimetros a pulgadas de una manera muy facil, ideal para principiantes.
✉️ NEGOCIOS / CONTRATACIONES / PRENSA: [email protected]
Únete a este canal para acceder a sus beneficios: youtube.com/channel/UCwScwtu5zVqc_wHtRx9XvDA/join
¡¡Sígueme en mis redes sociales!!
✉️ NEGOCIOS / CONTRATACIONES / PRENSA: [email protected]
INSTAGRAM: instagram.com/soydanielcarreon/
FACEBOOK: facebook.com/SoyDanielCarreon
TIK TOK : vm.tiktok.com/ZMeMKc9eP/
TWITTER: twitter.com/danielcarreonyt?lang=es
CANALES DE MIS HERMANOS
ROCIÓ CARREON youtube.com/c/RocioCarreon
MARIO CARREON youtube.com/c/MARIOCARREÓN
Descarga mi app MATES CON DANIEL aquí:
ANDROID: play.google.com/store/apps/details?id=io.educup.matescondaniel
IOS: matescondaniel.page.link/app
SUSCRIBETE!!! Si llegaste hasta aquí comenta: “¡Aprendamos juntos!”
Fotos FTApinamar: Tabla de Pulgadas a centimetros Último

De pulgadas a centimetros | Consejos útiles, Consejos, Conversiones

t.es
Reseñas Mariasun y sus Ideas: Conversor de pulgadas a centimetros actualizado

Acerca de Pin en pulgadas a cm tendencias

Imágenes tabla pulgadas a centimetros popular
Asunto Crafty Lucy y sus tips: Tabla de conversión de pulgadas a centímetros popular

Aquí Conversion Pulgadas Centimetros actualizado

Imprescindible Cómo convertir centímetros a pulgadas: 3 Pasos actualizar

Aquí Equivalencia Pulgadas – Milimetros popular
Fotos Explicación y conversión de Centimetros y Pulgadas! Scrap!! – YouTube volviéndose viral










