
Video que traza la raíz cuadrada de un segmento de longitud a. Si a es 2, se tiene la construcción del irracional raíz cuadrada de 2. Circunferencia, raíz cuadrada, semirrecta, segmento. Hallar el segmento medio proporcional a otros dos.
Frases La Bella Y La Bestia, 4.9 MB, Momento Epico Disney Transformacion De La Bestia La Bella Y La Bestia, 03:34, 446,425, Disnovemac LA, 2016-05-27T18:35:48.000000Z, 19, Pin en Frases de Películas Disney, www.pinterest.com.mx, 1000 x 1000, png, , 20, frases-la-bella-y-la-bestia, Zadania lekcyjne
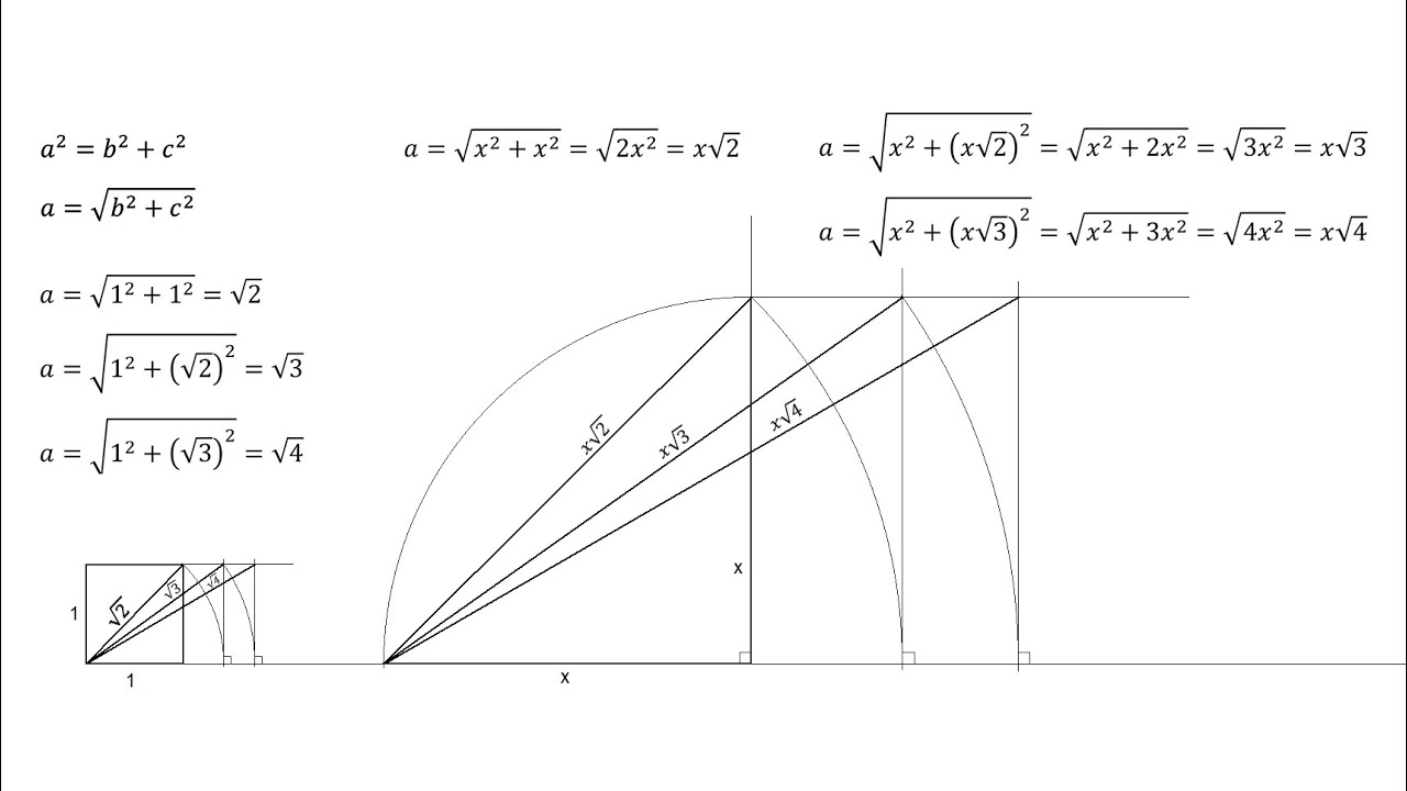
El resultado es la raíz cuadrada. Solución hallar el segmento raíz cuadrada del dado. Teorema de la altura. } } } } 9cm 9cm 0/34 raíz cuadrada de un segmento plasticalagon 3/2/16 3316 vis. Comentarios (0) inicia sesión para añadir tu comentario Para calcular la raíz cuadrada de un número, hay que encontrar el número que multiplicado por sí mismo nos da ese primer número. Si conocemos ya las potencias de grado 2 (calcular el cuadrado de un número), se trata de encontrar el número que elevado al cuadrado nos da el primer número. Raíz cuadrada de un segmento ‘a’. Tomamos un segmento de una unidad de longitud ‘u’ y lo ponemos a continuación del segmento dado ‘a’ y obtenemos x como hemos expuesto en el teorema de la altura.
Actualmente – Raíz cuadrada de un segmento: √a = x actualizar
Noticias 🌳⬛ Como DIBUJAR la raíz cuadrada de un segmento PASO a PASO 😂 viral
Hallar la raiz cuadrada de un segmento | Maria en Blau
04. Distancia entre dos puntos, coordenadas con raíz cuadrada (Con gráfica y fórmula)
05. Distancia entre dos puntos, coordenadas con raíz cuadrada (Con gráfica y fórmula)
Veamos Raíz cuadrada con escuadra y compás actualizado
Aquí Ubicación de la raiz cuadrada en la recta numérica
Últimas Hallar gráficamente raíces cuadradas – Pitágoras Nuevo
Viral Raíz cuadrada SIN CALCULADORA
Acerca de Representacion de Numeros Irracionales en la Recta Numérica más
Detalles Hallar La Raiz Cuadrada De Un Segmento de la discusión anterior
WEB: profesordedibujo.com/
TWITTER: twitter.com/ProfedeDibujo
FACEBOOK: facebook.com/PDDProfesorDeDibujo
Si te resultó útil: dale a “me gusta”, favoritos o compártelo. Gracias!
Este vídeo ha sido realizado con GeoEnZo: geoenzo.com
Fotos Raíz cuadrada de un segmento: √a = x – YouTube

Ver El doble de la raíz cuadrada de veintiocho – Brainly.lat más

Imágenes Raíz cuadrada de un segmento.

e.net
Artículos Cómo hallar la raíz cuadrada – YouTube volviéndose viral

Mira si se cumpliera que el cuadrado del precio de un producto es DP a la viral

Imprescindible Cual es la raiz Cuadrada de 84 por descomposicion prima – Brainly.lat

Aquí dentro de 8 años tendré el doble de lo que tenia hace 5 años, hallar la

Artículos 🌳⬛ Como DIBUJAR la raíz cuadrada de un segmento PASO a PASO 😂 – YouTube

Mira Raíz cuadrada de un segmento – YouTube

Artículos Raíz cuadrada de un segmento – GeoGebra










