
Cálculo de derivadas por definición usando límites ejercicios resueltos derivadas se llama derivada de la función y = f (x) en el punto x ; Al límite del cociente incremental definición : La derivada de una función f es otra (se lee «f prima») cuyo valor en cada punto es , siempre y cuando exista tal límite. Share your videos with friends, family, and the world
Siento Que Nadie Me Entiende, 8.61 MB, Cuando crees que nadie te entiende, 06:16, 93,487, Enrique Monterroza, 2018-02-07T16:27:17.000000Z, 19, Cartel para: odio los dias que siento que nadie me entiende y me sale, www.frasemania.com.ar, 612 x 612, jpeg, entiende nadie cartel, 20, siento-que-nadie-me-entiende, Zadania lekcyjne
Funciones definidas por tramos chapter 18: Ejercicios y problemas propuestos chapter 22: Límites de funciones chapter 23: Definición y ejemplos chapter 25: Funciones definidas por tramos chapter 18: Ejercicios y problemas propuestos chapter 22: Límites de funciones chapter 23: Definición y ejemplos chapter 25: Funciones definidas por tramos chapter 18:
Derivada de una función usando la definición | Ejemplo 1
Nuevo Derivadas usando la DEFINICIÓN
Derivada de una función usando la definición | Ejemplo 3 Último
Acerca de DERIVADA DE UNA FUNCIÓN USANDO LA DEFINICIÓN – Ejercicio 1
Derivadas por definición – Ejercicios resueltos tendencias
Mirar Derivada por Definición – Ej.3 (Raíz Cuadrada) actualizar
< span class="mntl-sc-block-heading__text">Artículos derivadas utilizando la definición, hallar la derivada usando limites, ejemplos
Ver 18. Derivada Por Definicion Ejercicios Resueltos
Temas Derivada por Definición – Ej.2 (Fracción o Cociente) tendencias
Temas 21. Derivada Por Definición de Una Fracción
Otras descripciones de Derivada Por Definicion Ejercicios Resueltos lo que puede ver
Derivada de una función usando la definición en la que se habla del límite y de los incrementos, dentro del curso de derivadas.
Curso completo de Derivadas:
youtube.com/playlist?list=PLeySRPnY35dG2UQ35tPsaVMYkQhc8Vp__
_________________________________________________________________
Si quieres ayudarme para que el canal siga creciendo puedes:
– Suscribirte: youtube.com/matematicasprofealex?sub_confirmation=1
– Contribuir al canal con una donación: paypal.me/profeAlex
– Hacerte miembro del canal: youtube.com/matematicasprofealex/join
_________________________________________________________________
Descarga mi app MathAlex: onelink.to/vmcu3e
Visita mi página web: MatematicasProfeAlex.com
Sígueme en mis redes sociales:
– Facebook: facebook.com/MatematicasProfeAlex
– Instagram: instagram.com/MatematicasProfeAlex
Contacto Únicamente negocios, prensa: [email protected]
0:00 Saludo
0:15 Conceptos que debes saber
1:00 Solución del ejemplo
5:52 Ejercicio de práctica
Academatica.com » Derivada por definición. Ejercicios resueltos

Artículos Matematica I: DERIVADAS POR DEFINICIÓN tendencias
Asunto INTERPRETACION GEOMETRICA DE LA DERIVADA EJERCICIOS RESUELTOS PDF Último
.gif)
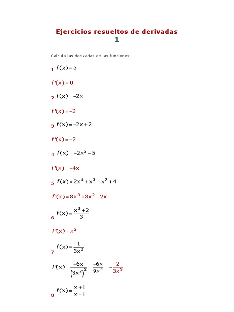
Último Ejercicios Resueltos de Derivadas Último
Último Ejercicios resueltos de derivadas

Acerca de Academatica.com » Derivada de polinomios y funciones exponenciales más

Asunto INTERPRETACION GEOMETRICA DE LA DERIVADA EJERCICIOS RESUELTOS PDF
.gif)
Último DERIVADAS MATEMÁTICAS: DEFINICIÓN DERIVADAS viral

Acerca de Teoremas de derivada | Ejercicios resueltos de la derivada por teoremas tendencias










