
2n academy sign up free and become an expert in 2n products! We offer a range of learning options to help extend your knowledge of our products and support you with your projects. Haar portfolio omvat deurtelefoons, antwoordpanelen en toegangscontrolesystemen. 2n is gespecialiseerd in de residentiële sector en biedt producten die compatibel zijn met bluetooth, smartphone en tablet.
50 Psi A Bar, 5.24 MB, BAR, PSI, Pressure Measurement EXPLAINED, 03:49, 31,261, SpeedLab Channel, 2020-07-27T05:43:34.000000Z, 19, Pressure Gauge 50mm Dial 0/30 PSI & 0/2 Bar 1/4 BSPT BOTTOM and/or Hose, www.ebay.co.uk, 805 x 1000, jpeg, pressure gauge psi bar 50mm bspt dial bottom tails hose, 20, 50-psi-a-bar, Zadania lekcyjne
De red dot en if design awards getuigen hiervan. 2n werd in 1991 opgericht in tsjechië. 2n products are divided into 8 product groups. Choose the right one to meet your needs. Intercoms intercom systems for secure and comfortable communication. Learn more my2n cloud services services to facilitate the integration and administration of 2n devices via the internet. 24277 views around the world you can reuse this answer creative commons license I'm a little confused as to how $(2n)!/(2n+2)!$ looks when written out. Basically i'm trying to visualise it so that i know how to cancel this and like terms in future.
Ver 2n squared rule and Intro to Electron Configurations volviéndose viral
Videos Proof that C(2n, 2)=2*C(n,2)+n^2 actualizado
Viral Electronic Configuration Nuevo
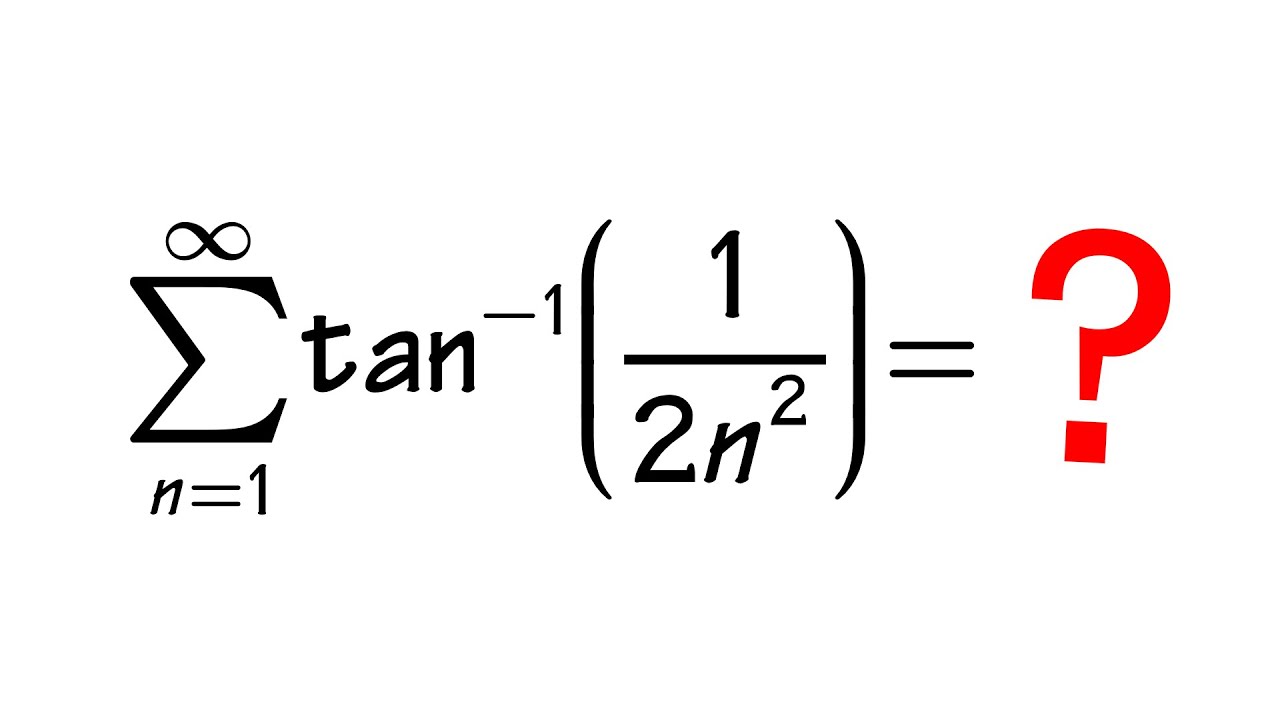
Mirar Sum of arctan(1/(2n^2)) volviéndose viral
Asunto Determine if sequence converges or diverges, if converges find limit {ln (2n^2+1) – ln(n^2 +1)}
Aquí Combinatorial Proof : C(2n,2) = 2*C(n,2) + n^2 | Combinatorial Proofs-3 volviéndose viral
Ver Infinite Series Convergence and Divergence Example with SUM((2n)!/(n!)^2) Ratio Test
Obligatorio 2-2N Unreachable [Rhythm Doctor] tendencias
Temas Antenna testing Tutorial | How to use NanoVNA V2 SAA-2N | Best antenna for Helium hotspot actualizar
2N2 Último
Detalles 2n 2 que podría ser interesante
Ver Proof that C(2n, 2)=2*C(n,2)+n^2 – YouTube más

Mira Prove 2^n is greater than n – YouTube

Veamos Szereg liczbowy (n!)^2/(2n)! – YouTube actualizado

Actualmente – Prove by induction that 1^2 2^2 3^2 N^2… – YouTube Nuevo

Último Método de inducción: 1^2 + 2^2 + 3^2 + + n^2 = n ( n + 1 ) ( 2n + 1

SOLVED:Prove that 2^{n}>n^{2} for all positive in… actualizar

Actualmente – Prove that `((2n)!)/(2^(2n) (n!)^2) lt= 1/sqrt(3n+1)` for all `n in N Último

Noticias Vollständige Induktion über 2^n>=n^2 für n>=4 | Mathelounge tendencias
Nuevo #2 Mathematical Induction 2+2^2+2^3+…2^n=2(2^n-1) proof 5^n-2^n Último

Fotos Dinamómetro precisión 2 N / 0,02 N viral








![Putar video 2-2N Unreachable [Rhythm Doctor] sekarang 2-2N Unreachable [Rhythm Doctor]](https://img.youtube.com/vi/1AWxO3eIiTA/maxresdefault.jpg)

