Copiar en la hoja 1 del libro de trabajo, la siguiente tabla: Calcular la media de las. Podrás resolver ejercicios guiados paso a paso, obtener colecciones aleatorias de ejercicios, realizar un examen de un tema concreto, etc. Estamos modificando el formato de la página.
Cajas De Pasteles, 984.38 kB, Cajas clásicas para pasteles – Vídeo de montaje ref. 2272 SelfPackaging, 00:42, 188,086, SelfPackaging, 2015-01-27T09:38:36.000000Z, 19, Cajas con forma de rebanada de pastel – Dale Detalles, www.daledetalles.com, 1100 x 733, jpeg, rebanada, 20, cajas-de-pasteles, Zadania lekcyjne
Tutorial desde cero química. La respuesta correcta es b. B) los alumnos marchan sin cesar y algunos comienzan a rezagarse. A) los autos se detenian antes de llegar al tope. B) se percató de que aquel. Si quieres ver los ejercicios resueltos te los dejo en pdf para que los puedas descargar abajo. En una empresa se funde plomo utilizando un crisol y un quemador de gas licuado. Ejercicios resueltos paso a paso sobre la factorización factor común por agrupación de términos para que practiques. Factor común por agrupación de términos índice de contenido.
Últimas Movimiento Armónico Simple (MAS) – Ejercicios Resueltos – Nivel 1 actualizar
Acerca de Movimiento Armónico Simple (MAS) – Ejercicios Resueltos – Nivel 2 popular
EJERCICIOS RESUELTOS Movimiento Armónico Simple M.A.S./ paso a paso
Temas Movimiento Armónico Simple (Ejercicios) Nuevo
Artículos ♥️ MOVIMIENTO ARMÓNICO SIMPLE ♥️ (Ejercicios Resueltos TÍPICOS de EXAMEN) ✅ tendencias
Aquí Problemas de Movimiento Armónico Simple (MAS) – Movimiento Periodico y oscilatorio. más
Veamos Movimiento Armónico Simple (MAS) – Ejercicios Resueltos – Nivel 3 volviéndose viral
Últimas ✅ FÍSICA: Movimiento Armónico Simple (MAS). Ejercicios Resueltos – Fácil de entender!! volviéndose viral
Últimas Movimiento Armónico Simple, Ejercicio resuelto Último
Acerca de Ejercicio Resuelto de Movimiento Armónico Simple – (Frecuencia y Periodo) actualizado
Explicación Mas Ejercicios Resueltos
Veamos los problemas propuestos y ejercicios resueltos de movimiento armónico simple o MAS:
✔ Todos los videos movimiento armónico simple o MAS: youtube.com/playlist?list=PL3KGq8pH1bFQ49SoFwcQadqG0yxI5Ubm2
Hoy regresamos con un nuevo tema, se trata de los ejercicios resueltos de movimiento armónico simple, un tema muy interesante, y que puede ser complicado para algunos, como siempre, lo explicaremos de manera sencilla para que todo quede claro como el agua.
En el primer nivel, vamos a ver la explicación con las fórmulas de posición (elongación), velocidad y aceleración, así como un par de problemas para ir calentando. Las variables que usamos serán amplitud, frecuencia cíclica, fase inicial y tiempo.
En el nivel 2, vienen 2 problemas resueltos complicados de período y frecuencia, veremos también algunas fórmulas secundarias que se usan en estos problemas, relacionadas a la masa y a la constante elástica de los resortes.
En el nivel 3, terminamos con 2 problemas complicados relacionados a energía mecánica, energía cinética y energía potencial elástica en el movimiento armónico simple.
_______________________________________________________________
✔ Suscríbete: goo.gl/3HP9QH (no olvides darle like 😉)
✔ Guía de ejercicios y solución a la tarea: matemovil.com/?p=1978
✔ FACEBOOK: facebook.com/matemovil
✔ INSTAGRAM: instagram.com/matemovil2/
✔ TWITTER: twitter.com/matemovil1
✔ Conviértete en patrocinador: goo.gl/9mrmg9
#MASmatemovil
Acerca de Mas y Pendulo Ejercicios Resueltos | Pêndulo | Movimento (Física) tendencias
Discusión Ejercicios Resueltos de Integrales Por Sustitucion | Nature
Discusión ECUACIONES DIOFÁNTICAS EJERCICIOS RESUELTOS DE RAZONAMIENTO MATEMÁTICO volviéndose viral

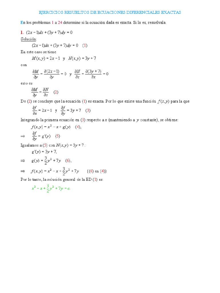
Ejercicios Resueltos de Ecuaciones Diferenciales Exactas | Ecuaciones volviéndose viral
Viral Algo mas que FÍSICA!: FISICA II EJERCICIOS RESUELTOS DE CAPACITANCIA popular
Noticias Ejercicios Resueltos Distribuciones de Probabilidad Continua actualizar
Nuevo MOVIMIENTO ARMONICO SIMPLE MAS PENDULO SIMPLE FORMULAS EJEMPLOS Y Nuevo

Imágenes La Física según Ana: Ejercicios resueltos – Más ecuaciones de segundo

Imprescindible 1.4. Más ejercicios resueltos para el cálculo de derivadas | DERIVADAS tendencias

Acerca de Leyes de kirchhoff ejercicios resueltos 3 viral










