
¿cuánto es 140 centímetros en pulgadas? Para convertir centímetros a pulgadas, multiplica el valor en centímetros por 0. 3937008. Luego, 140 cm = 140 × 0. 3937008 = 55. 1 in (este resultado es aproximado). El centímetro es equivalente a 0,01 metros, y hay cerca de 2,54 centímetros en una pulgada lineal.
Libros Contestados De Primero De Secundaria, 13.57 MB, Libro de matemáticas 1 de secundaria contestado 2022| Telesecundaria- p. 10-11, 09:53, 48,328, Tareas matemáticas, 2020-10-02T18:06:07.000000Z, 19, Libros Contestados De Primero De Secundaria Paco El Chato | Libro Gratis, www.librogratis.info, 918 x 1178, jpeg, secundaria primero respuestas paco chato conecta contestado matematica fliphtml5 calameo contestados matemáticas 1ro resuelto santillana sexto infinita algebra editores bloque, 20, libros-contestados-de-primero-de-secundaria, Zadania lekcyjne
Multiplica el valor en centímetros por el factor de conversión '0. 39370078740214'. Entonces, 140 centímetros = 140 × 0. 39370078740214 = 55. 1181102363 pulgadas. Convertir centímetros a pulgadas — tabla y convertidor de centímetros a pulgadas, utilice el formulario o la tabla siguiente. Convertir a pulgadas 1 cm = 0,3937 pulgadas ver las definiciones de un centímetro y una pulgada. Véase la tabla para la conversión inversa de pulgadas a centímetros. Centímetros = pulgadas de precisión: Dígitos decimales convertir de centímetros a pulgadas de. Escriba la cantidad que desea convertir y presione el botón convertir. Pertenece en la categoría longitud a otras unidades tabla de conversión para tu web aceleración ángulo de área energía esfuerzo de torsión fuerza longitud moneda peso potencia presión
Mirar 28. Cómo convertir centímetros a pulgadas (in) muy fácil Último
Ver ¿Cómo convertir de centímetros a pulgadas
Viral cuantas pulgadas tiene un metro en la cinta metrica viral
Discusión Medir en centímetros y pulgadas Último
Acerca de Cuantas pulgadas tiene un pie en la cinta metrica volviéndose viral
Ver Convertir pulgada a centímetros o a metros actualizar
Noticias 140 cm to inches tendencias
Nuevo Cuánto es 20 CENTÍMETROS en PULGADAS actualizar
Reseñas Como leer FRACCIONES de PULGADA en la cinta de medir más
CONVERTIR METROS A PULGADAS Super facil – Para principiantes viral
Qué saber sobre 140 Cm A Pulgadas en su totalidad
Canal de Física: youtube.com/channel/UCeFNpG-n8diSNszUAKaqM_A
MIRA LA LISTA COMPLETA DE CONVERSIONES AQUI:
youtube.com/playlist?list=PL9SnRnlzoyX19wZ_2qR6K-hzIZau6cGqB
En este video veremos cómo convertir centímetros a pulgadas, mediante una muy sencilla regla de 3, paso a paso.
¡SUSCRIBETE!: goo.gl/hM9m9X
Google+: plus.google.com/+arquimedes1075
Facebook: facebook.com/arquimedes1075
Twitter: twitter.com/arquimedes1075
Si te gustan mis videos, y deseas brindarme tu apoyo mediante un donativo :D, puedes hacerlo en este enlace:
paypal.com/cgi-bin/webscr?cmd=_s-xclick&hosted_button_id=TZ6HW3Z2VNSCJ
¡También puedes apoyarme en patreon!
patreon.com/matefacil
Instagram: instagram.com/matefacilx/
¿Necesitas ayuda en algún ejercicio? Visita:
facebook.com/pg/arquimedes1075/services/ #Matefacil —
#EduTuber #EduTubers #Matematicas #Math #Maths #Education #EasyMath
.
—-
Tutorial, tutoriales, #tutorial #tutor #tutoriales #profesor
—-
Canal secundario: youtube.com/channel/UClSpw-rlRdygJmI33x1YagA
Canal de twitch: twitch.tv/matefacil/ . Estudia conmigo #estudiaconmigo Descarga la App de MateFacil: matefacil.page.link/app
(Para iOS y Android). –
Mi lista de Amazon: amazon.com.mx/hz/wishlist/ls/2RLVI6LZ1ZZRR?ref_=wl_share .
¡Únete al grupo de Telegram! t.me/matefacilgrupo
Último Pin en Pulgadas a centímetros tendencias

Imágenes De pulgadas a centimetros | Consejos útiles, Consejos, Conversiones

Temas Tabla de conversión de tallas de pulgadas a centímetros para mujer actualizado

Ver Pin en pulgadas a cm

Último Equivalencia Pulgadas-Milimetros CM | PDF
Acerca de Cinta métrica en cm, cm y pulgadas, centímetros y mano, cm y span, cm y actualizar

Imágenes Cómo convertir centímetros a pulgadas: 3 Pasos actualizado

Copia de Conversion de Pulgadas a Centimetros Último
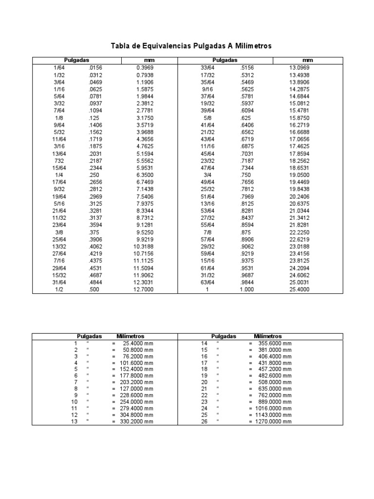
Imprescindible Equivalencias de Pulgadas a Milimetros | Pulgada | Unidades de medida tendencias
Temas Mariasun y sus Ideas: Conversor de pulgadas a centimetros viral










