
Constan ejercicios tipo examen esta obra ha sido elaborada por roberto cabrera resumen de problemas resueltos de ecuaciones diferenciales. Dennis g zill solucionario ecs. Enrique mateus nieves doctorando en educación matemática. Ecuaciones diferenciales exactas definición 1:
De Miligramos A Ml, 6.94 MB, Como calcular de Mg a ml.., 05:03, 35,133, Circulo de Estudio Enfermero de Corazón, 2019-11-29T20:50:19.000000Z, 19, Come Convertire Millilitri (ml) in Grammi: 12 Passaggi, www.wikihow.it, 3200 x 2400, jpeg, gramos mililitros convertir milliliters milliliter gramas gramm eenheden grammi grammen umrechnen convertire conversiones massa, 20, de-miligramos-a-ml, Zadania lekcyjne
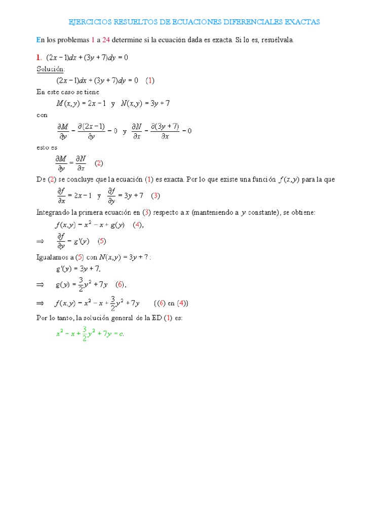
Ecuaciones diferenciales exactas, factor integral, lineales y de dernulli ge0ser ecuaciones diferenciales lineales josmal 7 ejercicios resueltos edo homogéneas yerikson. Ejercicios resueltos de ecuaciones diferenciales 1 resuelva el siguiente pvi:. c. b # # œ#b†% cw—#ñœ$. Ñsuponga que la resistencia y la. Ecuaciones diferenciales exactas con factor integrante pdf ejercicios y ejemplos resueltos. Ecuaciones diferenciales transformables a. Determinar si cada una de las siguientes ecuaciones es exacta o no. En caso afirmativo, encontrar la solución. (2xy^2 + 2y) + (2x^2 y + 2x)y’= 0, y (1) = 3,\\ b. ( x 3 + y 3) d x + 3 x y 2 d y = 0 en efecto, llamando p ( x, y) = ( x 3 + y 3), q ( x, y) = 3 x y 2 se tiene que p y = 3 y 2 = q x.
Discusión ECUACIONES DIFERENCIALES EXACTAS – Ejercicio 1
Acerca de 41. Ecuación diferencial exacta resuelta en 3 pasos (Ejercicio resuelto) volviéndose viral
Ver Ecuaciones Diferenciales Exactas | Ejemplo actualizar
Últimas 40. Ecuaciones diferenciales exactas ¿QUÉ SON Y CÓMO SE RESUELVEN actualizado
Últimas 43. Ecuación diferencial exacta resuelta en 3 pasos (Ejercicio resuelto)
Acerca de 44. Ecuación diferencial exacta resuelta en 3 pasos (Ejercicio resuelto) actualizado
Asunto ECUACIONES DIFERENCIALES EXACTAS – Ejercicio 2
Nuevo Cómo RESOLVER ecuaciones diferenciales EXACTAS ejercicios RESUELTOS paso a Paso Último
Temas Ecuaciones diferenciales exactas (Universidad) actualizar
Obligatorio Ecuaciones Diferenciales Exactas | Ejemplo 2 volviéndose viral
Más sobre Ecuaciones Diferenciales Exactas Ejercicios Resueltos último
#julioprofe explica cómo resolver una Ecuación Diferencial Exacta con condición inicial.
Tema: #EcuacionesDiferenciales →
youtube.com/playlist?list=PLC6o1uTspYwGJGlFnQ4QGLGBNtrdZ8AIt
REDES SOCIALES
Facebook → facebook.com/julioprofenet
Twitter → twitter.com/julioprofenet
Instagram → instagram.com/julioprofenet
SITIO OFICIAL → julioprofe.net/
Veamos EJERCICIOS RESUELTOS DE ECUACIONES DIFERENCIALES EXACTAS | Iram Ponce más

Acerca de Ejercicios+Resueltos+de+Ecuaciones+Diferenciales+Exactas volviéndose viral
Viral Ecuaciones exactas popular

Mira ECUACIONES DIFERENCIALES HOMOGENEAS EJERCICIOS RESUELTOS PDF actualizar

Nuevo Solución del ejercicio 20 Ecuaciones diferenciales de variables separadas actualizado

ECUACIONES DIFERENCIALES HOMOGENEAS EJERCICIOS RESUELTOS PDF actualizar

Artículos ECUACIONES DIFERENCIALES HOMOGENEAS EJERCICIOS RESUELTOS PDF actualizar

Asunto EJERCICIOS RESUELTOS DE ECUACIONES DIFERENCIALES DE VARIABLES Último

Último ECUACIONES DIFERENCIALES EXACTAS – Ejercicio 1 – YouTube actualizado










